就业工作

当前位置: 首页 >> 就业工作 >> 正文

【招聘】新乡市平原示范区招聘中小学幼儿园教师【12月25日-27日】

发布日期:2019-12-24    作者:信息工程学院     来源:     点击:

新乡市平原示范区位于黄河北岸,紧邻郑州都市区,是郑州都市圈核心地区的重要组成部分,是新乡与郑州实现无缝对接的重要节点,也是郑州向北经济辐射带动发展的桥头堡。为推动示范区教育事业均衡发展,进一步优化教师队伍结构,决定面向社会公开招聘政府购买服务教师,现将有关事项公告如下:

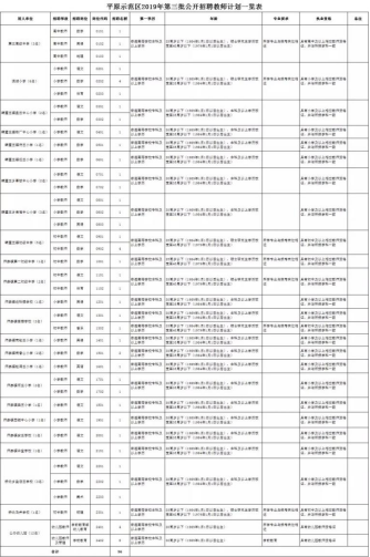
  一、招聘计划及相关内容

  本次招聘计划名额共56名。其中:中小学教师44名,幼儿园教师12名。具体招聘计划及要求见《平原示范区2019年第三批公开招聘教师计划一览表》(附件)。